但成也萧何败萧何,虽然电能对我们的生活至关重要,但它只在适量的时候才能发挥效用。过量的电会使人触电致死,还会让现代电子设备和机器报废。对此,19世纪杰出的科学家迈克尔-法拉第明了以他名字命名的发明——法拉第笼,它的出现,使得我们在和电打交道的时候,更安全了。 法拉第笼可以是笼子内的物体免受电磁辐射。通常情况下当电磁场作用于能导电的物体时,电荷会停留在导体外部,而不会向内部移动。法拉第笼正如其名,看起来就像一个笼子,有些法拉第笼的结构就像铁丝网或冰桶一样简单。还有一些则使用精细的金属网。
我们身边充满了各种电磁辐射。它存在于可见光和紫外线中,存在于烹饪食物的微波中,甚至存在于通过收音机播放音乐的调频和调幅无线电波中。但有时,这些辐射并不受欢迎,甚至会具有严重的破坏性。在这种情况下,就轮到法拉第笼发挥作用了。 在外加电场的作用下,法拉第笼能够将电荷或辐射分布到笼子外部,形成与外加电场大小相等方向相反的电场,从而抵消了笼子外部产生的电荷或辐射,使得笼子内部形成一个等电势体。换句话说,法拉第笼是一种空心导体,电荷集中在笼子的外表面。这一功能让法拉第笼在这个电子纷飞、科技发达的世界里有很多迷人的用途。虽然法拉第最终会迎来属于他的时代,但他的发明背景其实起源于更早的时代。那么,这些超级有用的笼子到底是谁的点子呢?
本杰明·富兰克林和迈克尔·法拉第
虽然法拉第笼是以迈克尔·法拉第的名字命名的,但法拉第笼背后的许多想法都是本杰明·富兰克林启发的。众所周知,富兰克林在他辉煌的职业生涯中的某个时段,尝试在雷雨中放风筝吸引闪电,因此他对变幻莫测的电和电的概念已经有了一定的了解。1755年,富兰克林开始以一种很新的方式摆弄电。他给一个银质品脱罐(pint can,一种以品脱为容积单位的容器)通电,然后将一个不带电的软木球连接一根不导电的丝线放进罐中,直到软木球接触到罐底。富兰克林在给一位同事的信中写道:“如果在罐子外部软木球会被吸引,而在罐子内部则不被吸引,虽然软木球接触到了罐底,但当它被拉出来时,它并没有像接触罐子外部那样因接触罐底而带电。这是个很奇特的现象。” 他对电流与带电和不带电物体之间的相互作用感到困惑,并承认了这一点:”你想知道为什么,但我不知道。也许你会发现原因,然后你会非常好心地告诉我”。
英国化学家和物理学家迈克尔·法拉第(1791-1867)是法拉第笼的发明者
几十年后,一位名叫迈克尔·法拉第的英国物理学家和化学家提出了其他相关的看法——他意识到,导电物体(如金属笼)在带电时,只在其表面显示出电荷,对导体内部没有影响。 法拉第在一个房间里铺上金属箔,然后用静电发生器让金属箔带电,从而再次证实了这一观察结果。他把验电器(一种检测电荷的装置)放在房间里,正如他所预料的那样,验电器显示房间里没有电荷。电荷只是沿着铝箔表面移动,根本没有穿透房间。法拉第用他著名的冰桶实验进一步检验了这一现象。在这个实验中,他基本上重复了富兰克林的想法,将一个带电的黄铜球放入一个金属杯中。不出所料,他的实验结果与富兰克林的相同。 这个概念有各种神奇的应用,其中一个与所有坐过飞机的人都息息相关。想象一下,你乘坐的飞机突然被闪电击中会发生什么?其实这种情况并不罕见,甚至经常发生,但飞机和乘客都不会受到影响。这是因为飞机的铝制机身形成了一个法拉第笼,闪电中的电荷只会经过飞机表面,而不会伤害里面的设备或人员。这并不是在逗乐子,而是真实的科学。那么,这种巧妙的笼子设计到底是如何工作的呢?
法拉第笼的数学物理原理
法拉第笼(Faraday cage)是一种用于屏蔽电磁场影响的装置,由导体材料构成,能够阻断外来的电磁场,保护内部免受电磁辐射的影响。法拉第笼的设计基于电磁学中的几个基本原理:
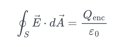
1.静电屏蔽:根据静电学中的高斯定律(Gauss’s Law):任何闭合导体表面的电场线通量等于其内部净自由电荷的总和除以真空的介电常数。这意味着当一个外部电场作用于封闭的导体表面时,导体内部的电场为零。数学上,高斯定律可以用积分形式表示:
![图片[1]| 一种可以屏蔽电的“笼”](https://picture.wangkay.tech/zibill/2024/04/20240418203322147.png)
,当导体在静平衡下,在其表面会分布电荷以至于内部的电场为零,即Ei=0,
2.电荷重新分布:导体内部没有电场意味着,导体内的自由电荷将会重新分布在导体表面,且分布方式完全取决于外部作用的电场的形状和强度。因此,法拉第笼的内部是没有电场的。
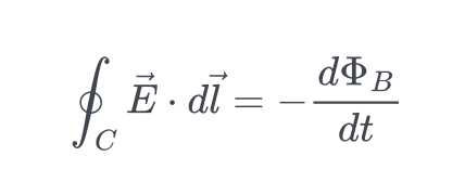
3.电磁感应定律:当变化的磁场通过导体时,根据法拉第电磁感应定律,将在导体上产生感应电动势。但是由于电荷在导体表面的自由移动,这会导致感生电流的产生,进而产生一个对抗原来的变化磁场的磁场,因此在导体内部抵消了这一变化。电磁感应定律对应的数学表达式为:
![图片[2]| 一种可以屏蔽电的“笼”](https://picture.wangkay.tech/zibill/2024/04/20240418203339618.png)
法拉第笼有什么作用?
当外部带电物体存在时,导体的正负粒子会分散在导体的两侧,产生了一个与外部带电物体形成的外电场大小相等方向相反的电场,从而在金属导体内部抵消了外部物体的电场作用。因此,
法拉第笼的现代用途
人们使用法拉第笼的目的多种多样,有时是在深奥的实验室环境中,有时是在日常用品中。例如,你的汽车基本上就是一个法拉第笼。在附近发生雷击时,正是法拉第笼的效应保护了你,而不是橡胶轮胎。虽然可能只是凑巧,但是很多建筑物也能起到法拉第笼的作用。例如灰泥或混凝土墙壁中散布着金属钢筋或铁丝网,它们形成了一个法拉第笼,并在你毫不知情的时候悄悄偷走了无线网络和手机信号。 但屏蔽效应造福人类的时候更多。微波炉能反向应用这种效应,将”电波困在笼子里”,快速烹饪食物。电视的屏蔽电缆能够减少外部干扰来保持清晰的图像。电力公司的线路工人经常穿着利用法拉第笼概念制作的特制防护服。穿上这些防护服,电力线工人可以在高压电线上工作,极大降低了触电风险。政府可以通过在重要的电信设备周围建造法拉第笼来保护它们免受雷击和其他电磁干扰。大学和企业的科学实验室通过使用更先进的法拉第笼,完全排除所有外部电荷和电磁辐射,为各种实验和产品开发创造一个完全电中性的测试环境。
微波炉是一种应用法拉第笼的常见商品。微波炉不是将微波拒之门外,而是将它们限制在一个小空间中,对你的食物进行“定点爆破”。
尖端法拉第笼
医院里的核磁共振成像(MRI)室就是一个法拉第笼。核磁共振成像依靠强大的磁场对人体进行医学扫描,因此核磁共振室必须进行电磁屏蔽处理,以防止杂散电磁场影响病人的诊断图像。 法拉第笼还有很多政治和军事用途。政治家可能会选择只在屏蔽室中讨论敏感问题,因为屏蔽室可以防止窃听。所有现代武装部队的通信和武器系统都依赖于电子设备,但有一个问题——这些系统很容易受到电磁脉冲(EMPs)的影响,这种电磁脉冲可能是太阳风暴,也可能是人为的电磁脉冲攻击。为了保护关键系统,军队有时会使用屏蔽掩体和屏蔽车辆。 正是出于同样的原因,法拉第笼成为末日求生主义者中的热门话题。这些人宣扬自给自足,在人为或自然灾害面前不信任政府的应对措施,他们相信使用自制的法拉第笼可以屏蔽所有重要的电子设备。一旦世界末日降临,他们仍然可以拥有短波收音机和其他高科技工具,这些都可能是救命稻草。 就算你并不关注末日求生,法拉第笼可能早就融入了你的日常生活中。这些法拉第笼利用物理学的基本原理,让我们的生活更加安全、奢华、便利,并促进了许多振奋人心的技术发展。
什么可以穿透法拉第笼?
法拉第笼可以在很大程度上保护内部不受外部电荷或电磁辐射的影响,尤其是在法拉第笼的厚度足够大的情况下。但是,法拉第笼无法阻挡稳定或缓慢变化的磁场。例如,地球磁场可以穿透法拉第笼,因此指南针仍然可以工作。





暂无评论内容